宁夏分社正文
搜 索
首页 - 社会
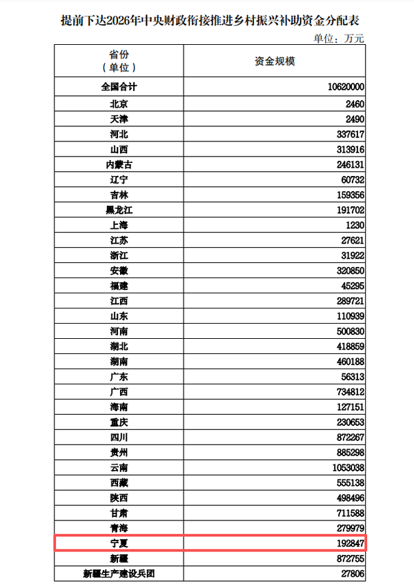
财政部提前下达乡村振兴补助资金!宁夏192847万元!
2025-11-28 17:35:23 来源:财政部网站

  1062亿元!财政部提前下达2026年乡村振兴补助资金!

  近日,财政部网站发布提前下达2026年中央财政衔接推进乡村振兴补助资金分配表,分配表显示,宁夏获192847万元补助。

专题
友情链接
本网站所刊载信息,不代表中新社和中新网观点。 刊用本网站稿件,务经书面授权。
未经授权禁止转载、摘编、复制及建立镜像,违者将依法追究法律责任。